〖LED大屏網〗服務熱線:400-6787-360 會員登錄
免費注冊企業會員 |
·設為首頁 · 加入收藏 · RSS | |||
|
||||
本文是歐司朗光電半導體資深應用工程師趙云和市場經理梁澤春對于LED顯示行業幾個常見技術問題作出的解答,以及歐司朗光電半導體針對不同技術方面,給出對應的產品解決方案。
戶外顯示屏亮度越高越好?
在國內led顯示屏行業,亮度一直是大家拿來評估顯示效果的最只要指標,特別是針對戶外使用的屏幕。久而久之就形成了亮度越高越好的誤解,卻忽略了另外一個對顯示效果極為重要的指標——對比度。
根據行業標準SJ/T11281-2007《發光二極管(LED)顯示屏測試方法》的定義,顯示屏在一定的環境照度下,其最大亮度與背景亮度之比稱為最高對比度(具體測試條件和方法見該標準)。例如一個屏幕在全白屏狀態時候亮度為5000cd/m2,全黑屏狀態亮度為1cd/m2,這樣屏幕的對比度就是4999:1。對比度的定義其實強調了在使用環境中,顯示畫面的可辨識程度,相對于亮度指標,對比度指標增加對全黑屏狀態下的亮度考察,而全黑屏狀態下的亮度又與環境光和屏幕本體(LED和面罩)的反光屬性密切相關。以下戶外的對比實例可以看出,亮度高而對比度低的屏幕反而沒有亮度相對低而對比度高的屏幕效果好。

圖1 不同亮度和對比度屏幕的效果對比
為了提高led顯示屏的對比度,歐司朗光電半導體自從2007年推出全球第一款黑體表貼三合一LED (LRTB GFUG)以來,一直專注于降低LED表明的反光系數,目前主推的產品LRTB GRUG(圖二)是市面上表面黑度最高的LED之一,它不但采用黑體外殼,而且芯片周邊的支架也做了通體黑色處理。該產品配合特種的驅動和面罩設計,可以做到高達8000:1的最高對比度。
圖2 歐司朗光電半導體產品LRTB GRUG
另外,即使在對比度一定的條件下,也不是亮度越高越好。亮度過高的屏幕可能帶來以下3點問題:(1)高能耗;(2)光污染;(3)硬件壽命降低。
綜上所述,我們認為led顯示屏的亮度并不是越高越好,對比度的指標比高度指標更能體現顯示效果的好壞;并且在對比度一定的條件下,也不是亮度越高越好。
led顯示屏可視角度越大越好?
在討論視角的大小之前,同樣我們需要先理清一下視角的概念。行業內不少廠家對弈視角規格的設定不夠準確,認為可以看到顯示內容的角度都是視角范圍,其實不然。根據行業標準SJ/T 11281-2007《發光二極管(LED)顯示屏測試方法》的定義,假設顯示屏法線方向的亮度為Lf,從顯示屏中心法線左右兩側檢測顯示屏的亮度,當左右兩側亮度值下降到Lf/2時,兩條觀測線之間構成的夾角稱為顯示屏水平方向的視角。垂直方向視角同理。
LED本身的視角也是基于以上同樣的定義。而由于顯示屏上的亮度測試的定義,光探頭至少需要包換16個LED像素點,會導致屏的視角會比所使用的LED的視角稍大的現象(假設面罩無擋光)。如圖三所示的例子,由100度視角LED所做成的led顯示屏有134度的可視角。
圖3 LED與led顯示屏的相對光強對比
那么led顯示屏的視角是不是越大越好?其實這取決于不同的應用需求。例如道路交通信息屏,由于顯示內容的受眾只為路面車輛,所以視角通常只需要30度左右,過大的視角反而會造成在其它角度的光污染,以及能效的降低;又例如戶外大樓外墻的廣告顯示屏,顯示內容的受眾為街道上的路人,所以水平視角需要相對較大,而垂直視角應該盡量減小。
針對不同的應用需要,歐司朗光電半導體具有一系列不同視角規格的LED產品,圖四所列為其中3種不同產品。
圖4 不同視角規格的顯示應用LED
LED波長范圍越窄顏色一定越一致?
led顯示屏顯示色彩的均勻一致性取決于以下三點:(1)LED個體之間顏色的一致性,(2)驅動芯片輸出電流的一致性,(3)溫度的一致性。而這其中LED個體之間的一致性最重要。雖然目前基于控制系統的逐點校正方法已經很成熟,但是校正是要以犧牲絕對亮度和三基色飽和度為代價的。是以,LED的出廠一致性對于顯示色彩的均勻一致性還是至關重要的。
目前行業中的主流做法是,LED供應商通過主波長作顏色分Bin,通過不斷縮小主波長的上下限范圍來提高色彩一致性。但是,使用主波長作為限制顏色的唯一參數是完全不合理的方式。
圖五所示為色度學領域定義的CIE1931色空間,所有可見光顏色位于該馬蹄形圖形以內,并且可以通過(x, y)坐標嚴格定義。每種顏色具有主波長和飽和度兩個屬性。主波長通過邊界上的波長點和等能量點(0.333, 0.333)之前的連線定義,飽和度由該線段上的比例定義。例如在圖五中,我們選取某一綠色點B,作連接E點和B點的直線并延長到邊界A(540nm)點,那么該綠色的主波長就是540nm;而該點的飽和度為BE/AE = 50%。線段AE上的所有顏色點都具有540nm的主波長,而差異在于飽和度不一樣。
圖5 CIE1931色空間
所以,主波長的顏色分Bin方式并不科學,由于完全缺失了飽和度的規格限制,即使再窄的波長范圍也無法精確限制顏色的一致性。
歐司朗光電半導體對于所有的led顯示屏用產品,采用基于CIE1931色空間的色坐標分Bin方式,對出貨LED的主波長和飽和度兩方面同時限定規格。和其他家主波長分Bin的直觀對比如圖六舉例所示,圖中黃色四邊形是歐司朗LED LRTB GRUG 綠光第5號Bin(更多其它Bin區,請參加該產品規格書) 的顏色區域所在。而假設某家其他LED供應商以526nm到531nm的主波長范圍為出貨規格,那么該規格在圖六中對應的顏色范圍就是紅色的三角區域,該區域幾乎是黃色四邊形的5倍大小。即使是把主波長范圍縮小至527nm到529nm的2nm寬度,該顏色離散區域仍然是我們色指標四邊形的2倍。
圖6 歐司朗光電半導體色坐標分Bin和其他家主波長分Bin的對比
綜上所述,由于通過主波長定義顏色本身的不合理性,并不能通過縮窄LED的主波長范圍來有效提高顏色的一致性。而正確的做法是,通過色坐標分Bin的方式同時合理限制出貨產品的主波長范圍和飽和度范圍。歐司朗光電半導體對于所有的led顯示屏用產品都采用色坐標分Bin方式,通過精準的在線分Bin設備和材料工藝精度控制,我們既能保證自身足夠高的產率又能給led顯示屏應用提供顏色高度一致性的LED。
顯示像素密度越大越好?
顯示像素密度似乎永遠是越大越好,因為這意味著理論上顯示畫面就會越細膩。然而像素密度到底要多大,我們認為需要從以下三方面來考慮。
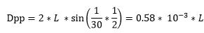
第一,人眼的分辨能力(暫不考慮人眼以外的觀測設備。根據《TCO Certified Displays 7.0》要求,人眼1度的視角內至少需要30個顯示像素點,也就意味著單個點間距對于的視角要求是1/30
人眼能夠分辨兩個點光源的極限是這兩個點光源和人眼形成1/60的弧度角,那么該兩點的距離(Dpp)和觀測距離(L)就有如下關系:
當觀測距離(L)是10米時,點間距的極限(Dpp)就是5.8mm。更高的像素密度將是沒有意義的。

圖7 點間距和觀測距離
第二,片源,視頻處理器和驅動芯片的負載能力。片源的分辨率若遠低于顯示設備的分辨率,顯示設備顯然是能力過剩。對于視頻處理器和驅動芯片,如果能力保持一定,那么負載像素的增多會造成刷新頻率或者灰階的降低。很多時候,低刷新或者低灰帶來的顯示效果比像素密度低還要差。
第三,成本。首先LED數量的增加會隨著像素分辨率的平方倍增加。PCB板的成本也會因為單位面積更為負責的線路設計而增加。另外,如果不想犧牲行掃數、刷新率或灰度,驅動元器件的成本也會急劇增加。
相同點間距下,LED尺寸越大越好?
這個問題可以等價為LED發光面在總個顯示面積中的占據比例,顯示效果是不是越大越好。首先需要強調的一點是,要討論顯示效果,都要以在合適的觀測距離為前提的。如果觀測距離過近,導致圖案像素離散,那就是像素密度設計不合適的問題,而不是LED占據比例不足的問題。
在觀測距離足夠大的情況下,LED發光面在總個顯示面積中的占據比例將會影響屏幕的對比度。由于LED與LED之間的空間會由面罩占據,而即使是最黑的LED,表明反光率也會比面罩高,所以,LED發光面在總個顯示面積中的占據比例越高,屏幕的對比度就越低。圖八為相同點間距、不同LED尺寸的顯示示意對比。

圖8 相同點間距、不同LED尺寸的顯示示意對比
針對這一理論,歐司朗光電半導體推出1010尺寸封裝的高亮度LED (型號LRTB R48G),適合點間距3-5mm的顯示設計。相對于傳統基于2020或相似尺寸LED的設計,LRTB R48G可以在保證亮度的前提下提供更高的顯示對比度。
戶外防護能力=防水性能?
針對戶外使用的led顯示屏需要應對嚴酷的環境考驗,對LED的可靠性要求很好。目前行業內不少做法是直接看防水性能。誠然,顯示屏上LED因為受潮或進水而導致的失效在所有各種失效模式中占比很高。但是,LED的戶外可靠性絕不簡單等價于防水性能。我們認為對于LED除了防水性能的要求,還需至少考慮以下三點:(1)戶外復雜氣體成分對LED的影響;(2)太陽輻射對LED的影響;(3)戶外更加嚴苛的高低溫以及濕度用LED的影響。
歐司朗光電半導體對于戶外led顯示屏應用的LED,嚴格規定以下7大類22項可靠性測試要求。在防水性能上,采用國際通用的IP等級測試規范。針對上面提到的另外三點,我們增加腐蝕性氣體測試和鹽霧測試可以保證產品應用于各種惡劣室外環境(如工業或汽車尾氣環境,海邊潮濕環境等);太陽/紫外輻射測試可以保證產品在戶外陽光直接照射下的性能可靠性;更全的高低溫含濕度的壽命測試、高低溫沖擊測試來應對戶外溫度濕度的劇烈變化。具體測試條件和結果請參閱歐司朗光電半導體不同產品的可靠性報告文件。
圖9 歐司朗光電半導體對于戶外顯示屏應用的LED產品的測試規范
不“死燈”就是LED沒失效?
業界通常使用“死燈”(LED短路或開路)來定義LED的失效與否,用“死燈”率ppm來評判LED質量的高低。誠然,LED的短路和開路會直接導致led顯示屏上的壞點、線狀或者十字顯示失效。然而我們認為,LED的失效不能只定義為開路或短路,而應該是任何關鍵規格參數的變化超過可接受范圍。這樣規格參數至少應該包含:(1)亮度——LED亮度的衰減會降低屏幕亮度,RGB之間的衰減不一致會造成屏幕的整體色飄,LED個體之間的衰減不一致會造成“花屏”;(2)色點——色點的變化通過會造成屏幕飽和度的下降,三基色以及白平衡的色飄,LED個體之間的色點偏移不一致會造成“花屏”;(3)電壓值——LED的老化會造成電壓值得升高,過高的LED電壓可能會造成驅動芯片控制的問題;(4)反向漏電流——特別針對戶內小間距應用,反向漏電流的變大正是LED短路的前兆。
歐司朗光電半導體所有led顯示屏應用的LED產品,都能提供詳盡的可靠性測試報告。報告內容不只是提供“死燈”率,而是通過在每項測試中LED關鍵規格隨時間變化的曲線(如圖十所示,產品LRTB GRUG在高溫高濕1000小時的測試中,亮度、電壓和色點隨時間的變化曲線)。

圖10 歐司朗光電半導體可靠性測試結果舉例
| 設為首頁
| 網站建設 | 商務信息
| LED顯示屏資訊 |
本站動態
| 關于LED大屏網
| 網站RSS | 網站地圖
| 友情鏈接
本站實名:LED大屏網 | 國際域名:www.qcrkj88.com 版權所有© 2009-2018 深圳中投網絡信息技術有限公司 粵ICP備05041759號 熱點關鍵詞:LED顯示屏控制卡 | LED顯示屏控制軟件 | LED全彩顯示屏 | led廣告屏 郵箱:LED-100@3v.cn 客服QQ: |